Dải Bollinger là gì?
Trần Vân Anh
Junior Editor
Bollinger bands là một chỉ báo kỹ thuật được sử dụng phổ biến để đo lường mức độ biến động (mạnh/yếu) của thị trường.
Bollinger bands là chỉ báo đo lường mức độ biến động mạnh yếu của tài sản
Bollinger band (dải Bollinger) là chỉ báo kỹ thuật được sử dụng để đo lường mức độ biến động (mạnh yếu) của tài sản trong một khoảng thời gian nhất định, thường là 20 phiên gần nhất.
Bollinger band xuất hiện trên biểu đồ giá, không giới hạn về khung giao động và được hình thành từ 3 đường: đường trung tâm, dải trên (upper band) như một kháng cự và dải dưới (lower band) như một hỗ trợ.
Giá thường biến động bên trong dải Bollinger, nên nếu vượt ra khỏi hai đường band trên/dưới sẽ thường có xu hướng đảo chiều hoặc bật trở lại khi chạm vào hai đường kháng cự/hỗ trợ động này.
Chỉ báo Bollinger Band được tạo ra và phát triển bởi nhà phân tích kỹ thuật John Bollinger vào năm 1983, nhằm giúp các nhà giao dịch đánh giá hành động giá và mức độ biến động của cổ phiếu.
Bollinger bands được hình thành từ đường MA 20 ngày
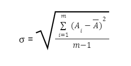
Dải Bollinger Band được hình thành từ 3 thành phần chính: đường MA 20 ngày là đường nằm ở giữa, band trên hoạt động như một ngưỡng kháng cự và đường band dưới có vai trò như một đường hỗ trợ, lần lượt được tính bằng trục giữa 2 lần độ lệch chuẩn. Cụ thể độ lệch chuẩn được tính như sau:

Trong đó:
- Ai : các dữ liệu về giá trong m nến cần xét
- A : giá trị trung bình của m dữ liệu được xét ở trên
Từ đó ta có thể xác định được vị trí của hai đường band trên và dưới:
- Đường MA 20 ngày: trung bình giá đóng cửa của 20 phiên gần nhất - đóng vai trò như một đường kháng cự/hỗ trợ khi giá giao động trong phạm vi từ đường MA20 đến đường band trên/band dưới.
- Band trên = MA20 + 2, đại diện cho vùng giá cao nhất mà tài sản có thể chạm đến trong 20 phiên gần nhất.
- Band dưới = MA20 - 2, đại diện cho vùng giá thấp nhất mà tài sản có thể chạm đến trong 20 phiên vừa qua.
Khi thị trường biến động mạnh, hai band trên và dưới của dải Bollinger sẽ mở rộng ra xa khỏi đường MA 20. Ngược lại khi biến động yếu dần, hai band trên và dưới sẽ thu hẹp lại và tiến sát lại gần đường MA 20. Do đó, vai trò cơ bản của Bollinger band là hoạt động như một chỉ báo để xác định mức độ mạnh hay yếu của một xu hướng giá.
Bollinger bands chỉ ra tín hiệu quá mua và quá bán
Ngoài việc xác định mức độ mạnh yếu của một xu hướng, Bollinger Band còn được sử dụng phổ biến nhằm xác định các vùng quá mua và quá bán, từ đó nhận biết tín hiệu đảo chiều xu hướng để tìm điểm vào lệnh. Quá mua hoặc quá bán được hiểu là các vùng mà giá đã biến động rất mạnh nhưng không có nhiều nhịp điều chỉnh đáng kể.
- Hiện tượng quá mua (overbought) xuất hiện khi giá trị thị trường đang vượt quá giá trị thực của tài sản. Lúc này các cây nến sẽ giao động bằng hoặc cao hơn band trên.
- Hiện tượng quá bán (oversold) xuất hiện khi giá trị thị trường đang thấp hơn nhiều giá trị thực của tài sản. Lúc này các cây nến sẽ giao động bằng hoặc thấp hơn band dưới.
Khi đó có thể áp dụng chiến lược mua thấp, bán cao để giao dịch. Cụ thể, khi giá chạm band trên thì ta có thể tiến hành bán ra và khi giá chạm band dưới có thể mua vào.

Đồng thời, khi giá rơi vào các vùng quá mua và quá bán mà có thêm sự xuất hiện của các mô hình nến/mô hình giá đảo chiều xu hướng thì cũng sẽ là một tín hiệu tốt để các nhà đầu tư xác định điểm vào lệnh. Như 2 hình bên dưới, khi giá đảo chiều giảm đã có sự xuất hiện của mô hình nến Bearish Engulfing hoặc mô hình hai đỉnh (Double Tops).


Gaio dịch với Bollinger band
Một kỹ thuật khác cũng được sử dụng để xác định giá đảo chiều là các giao dịch với Bollinger Band Squeeze hay còn được biết với tên gọi là “Nút thắt cổ chai”.
Hiện tượng này xảy ra khi giá đang trong giai đoạn biến động thấp hoặc không có xu hướng, 2 band trên và dưới ôm lấy các cây nến đang giao dịch với biên độ hẹp xung quanh đường MA 20 và tạo ra hình giống một nút cổ chai. Sự co lại của hai band có thể báo hiệu về sự xuất hiện của một xu hướng giá mới sau pha tích lũy này.
- Một xu hướng tăng được hình thành khi các cây nến vượt ra khỏi band trên. Lúc này có thể vào lệnh Buy khi giá đóng cửa tại band dưới của dải Bollinger.
- Một xu hướng giảm được hình thành khi các cây nến vượt ra khỏi band dưới. Lúc này có thể vào lệnh Sell khi giá đóng cửa tại band trên của dải Bollinger.

Ngoài ra, cũng cần chú ý đến hiện tượng “The head fake” khi giá phá vỡ dải trên/dưới nhưng không tiếp diễn đợt sóng đó mà đột ngột đảo chiều và di chuyển theo hướng khác.
- Bullish Head Fake xuất hiện khi dải Bollinger thu hẹp và xuất hiện 1 vài cây nến phá vỡ đường band trên nhưng không kéo dài lâu khi giá nhanh chóng điều chỉnh giảm.
- Bearish Head Fake xuất hiện khi dải Bollinger thu hẹp và xuất hiện 1 vài cây nến phá vỡ đường band dưới nhưng không kéo dài lâu khi giá nhanh chóng điều chỉnh tăng.

Bên cạnh đó, Bollinger band cũng được sử dụng kết hợp với các chỉ báo kỹ thuật khác như các chỉ báo động lượng RSI hay MACD để xác nhận các tín hiệu giá. Trong đó, các giao dịch phá vỡ (breakout) là những giao dịch được sử dụng phổ biến nhất vì mức độ hiệu quả và lợi nhuận mà nó mang lại.
Khi thị trường đang trong một xu hướng rõ ràng và có sự xuất hiện của các cây nến hồi lại xung quanh các đường band trên/dưới (râu nến có thể chạm vào hoặc gần chạm). Lúc này ta đã có tín hiệu Buy/Sell nhưng vẫn cần sự xác nhận của động lượng để tránh các pha bẫy giá và các công cụ mà ta cần chính là các chỉ báo như RSI.
Ta có thể đặt lệnh Buy tại khu vực có các cây nến di chuyển dọc band dưới và RSI cần phải cắt lên phía trên trục 50. Ta có thể đặt lệnh Sell tại khu vực có các cây nến di chuyển dọc band trên và RSI cần phải cắt xuống phía dưới trục 50.
(Hình ảnh)
Mặt khác, khi giá tiến vào vùng quá mua (RSI>70), các cây nến chạm band trên của Bollinger, ta có thể đặt lệnh Sell tại đây vì giá có khả năng sẽ đảo chiều tăng. Ngược lại, khi giá tiến vào vùng quá bán (RSI<30), các cây nến chạm band dưới của Bollinger, ta có thể đặt lệnh Buy tại đây vì giá có khả năng sẽ đảo chiều giảm.
(Hình ảnh)
dubaotiente.com